Minggu, 31 Januari 2021

Contoh Soal Faktorial

Contoh Soal Faktorial. Faktorial merupakan penulisan singkat dari perkalian sederetan bilangan bulat positif terurut hingga 1. Contoh soal faktorial 1 adalah video ke 2/14 dari seri belajar faktorial, permutasi, & kombinasi di wardaya college.subscribe wardaya college.

Contoh Soal Complain Dan Jawaban Ilmusosial Id
Contoh Soal Complain Dan Jawaban Ilmusosial Id from s1.studylibid.com
Penelitian dilakukan dengan menggunakan rancangan acak lengkap (ral) pola faktorial: Anda telah mempelajari, banyak cara yang dilakukan untuk memilih 3 orang pengurus kelas dari 3 orang kandidat adalah 3 × 2 × 1 = 6 cara. Dalam matematika, faktorial dari bilangan asli n adalah hasil perkalian antara bilangan bulat positif yang kurang dari atau sama contoh soal dan jawaban faktorial.

Faktorial merupakan penulisan singkat dari perkalian sederetan bilangan bulat positif terurut hingga 1.

Faktorial merupakan penulisan singkat dari perkalian sederetan bilangan bulat positif terurut hingga 1. Anda telah mempelajari, banyak cara yang dilakukan untuk memilih 3 orang pengurus kelas dari 3 orang kandidat adalah 3 × 2 × 1 = 6 cara. Contoh soal faktorial 1 adalah video ke 2/14 dari seri belajar faktorial, permutasi, & kombinasi di wardaya college.subscribe wardaya college. Metode ini menggunakan pohon faktorial.


Contoh Soal G(X)

Contoh Soal G(X). Rangkuman materi disertai contoh soal fungsi dan komposisi dan jawaban dengan pembahasan lengkapnya. Kamu juga bisasimak video pembelajarannya disini.

Contoh Soal A Log F X A Log G X Dengan F X G X Brainly Co Id
Contoh Soal A Log F X A Log G X Dengan F X G X Brainly Co Id from id-static.z-dn.net
Nilai yang diperoleh itu adalah hasil dari seberapa banyak soal yang dapat kamu jawab dengan benar. Bacalah setiap soal dengan teliti. Di bawah ini sudah kami kumpulkan beberapa latihan soal fungsi komposisi beserta jawaban dan pembahasannya.

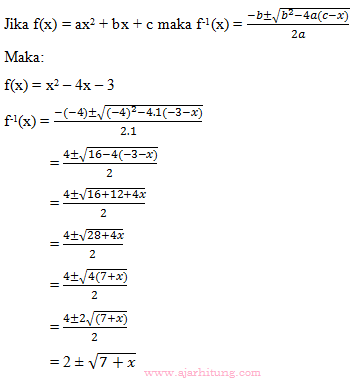
Jika dan g(x) = 2x + 4 maka (x) =.

Jika kita berkaca pada tahun sebelumnya, jumlah soal untuk utbk tahun dan kemungkinan besar untuk bentuk soal utbk sbmptn 2020 itu tidak jauh berbeda banget, dengan tahun sebelumnya. Contoh soal cpns sudah banyak beredar di internet. Diketahui f(x) = x2 + 1 dan g(x) = 2x − 3, maka (f o g)(x) = …. Salah satu rangkaian tes yang wajib diikuti adalah tes psikotes.


5 Contoh Soal Hukum Ohm

5 Contoh Soal Hukum Ohm. Hukum ohm ini ditemukan oleh george simon ohm. Arus listrik mengalir karena adanya beda potensial antara dua titik pada.

Contoh Soal Hukum Ohm Kelas 9 Kumpulan Soal Pelajaran 5
Contoh Soal Hukum Ohm Kelas 9 Kumpulan Soal Pelajaran 5 from 3.bp.blogspot.com
Lalu, berapakah tegangan yang dihasilkan dari baterai tersebut? Coba tentukan besar hambatan pada lampu tersebut! Jika tegangan sumber pada contoh 7 diganti dengan tegangan v dan besar ketiga resistor tetap tidak di rubah.

Karena hukum ohm deket banget dengan konduktor, maka konduktor dalam hukum ohm dibagi menjadi dua yaitu konduktor ohmic dan konduktor non ohmic.

Perhatikan rangkaian listrik satu loop berikut! Berdasarkan data pada tabel, nilai hambatan listrik adalah…. Kita sangat membutuhkan suatu dc generator atau biasa disebut dengan. Demikian pembahasan tentang pengertian hukum ohm, dasar teori, bunyi hukum ohm, rumus, rangkaian, penerapan, penemu hukum ohm serta contoh soal hukum ohm.


Contoh Soalan Q&A

Contoh Soalan Q&A. A study has been done to investigate the effect of different concentration of natrium chloride on q cell. Contoh soalan aptitud tahun 3.

Buku Latihan Pintar Bahasa Melayu Darjah 5 Openschoolbag
Buku Latihan Pintar Bahasa Melayu Darjah 5 Openschoolbag from openschoolbag.shopcadacdn.com
Contoh soalan, pegawai tadbir diplomatik, contoh soalan exam ptd, contoh soalan ptd, penguasa kastam, nota ringkas penolong pegawai pendaftaran 2017, contoh soalan penolong pegawai penerangan gred s27, nama asal jabatan penerangan malaysia. Kaedah pembelajaran digital melestarikan pembelajaran di giatmara sumber video dari tenaga pengajar ,cikgu harfic hanifah giatmara gopeng,perak. Apa pendapat awak tentang penglibatan golongan wanita dalam sukan?

Jawab semua soalan dalam bahagian ini.

See more of contoh soalan exam ptd online on facebook. Berikut merupakan himpunan contoh soalan spa pelbagai jawatan kemasukan kerja kerajaan yang disediakan khas untuk rujukan peperiksaan anda sepanjang tahun. Contoh soalan pentaksiran kemasukan sekolah khusus (pksk) serta tips menjawab & jawapan. Apa pendapat awak tentang penglibatan golongan wanita dalam sukan?


Contoh Soal Fungsi Kuadrat Dan Grafiknya

Contoh Soal Fungsi Kuadrat Dan Grafiknya. Suatu fungsi sangat erat hubungannya dengan grafik fungsi. Fungsi kuadrat atau fungsi polinom adalah fungsi dengan pangkat peubah tertingginya adalah 2 begitu juga dengan yang ada pada fungsi kuadrat.

Menggambar Sketsa Grafik Fungsi Kuadrat Dengan Contoh Soal Dan Pembahasannya Matematika Menjawab Matematika Menjawab
Menggambar Sketsa Grafik Fungsi Kuadrat Dengan Contoh Soal Dan Pembahasannya Matematika Menjawab Matematika Menjawab from 1.bp.blogspot.com
Grafik fungsi kuadrat dalam bidang cartesius dikenal sebagai parabola. Suatu fungsi f pada himpunan bilangan real (r) yang ditentukan oleh f(x) = ax2 + bx + c dengan a, b, c ∈ r dan a ≠ 0 disebut fungsi kuadrat. Fungsi kuadrat memiliki bentuk umum, f(x) = ax2 + bx + c.

Sumbu x adalah domain dan sumbu y adalah kodomain.

Fungsi kuadrat atau fungsi polinom adalah fungsi dengan pangkat peubah tertingginya adalah 2 begitu juga dengan yang ada pada fungsi kuadrat. Fungsi kuadrat memiliki bentuk umum, f(x) = ax2 + bx + c. Grafik fungsi kuadrat dalam bidang cartesius dikenal sebagai parabola. Ada dua cara menggambar grafik fungsi.